债券投资价值的主要影响因素「债券估值公式」 债券宏观研究「 中国宏观经济展望及债券市场机遇研讨会 成功举办」 华宇 发债「1300亿债转股」 近期可申购的可转债「今日可转债上市」 投资要义 第三层级投资工具的使用 一般包括「资本市场线上的投资组合包括」 亚洲美元债暴跌「为什么亚洲美元债创新高」 卢布升值也让俄罗斯烦恼「俄罗斯卢布大跌」 美联储降息对股市影响「美联储10年来首降 但 鸽派 程度不及预期 美股债券黄金走向如何 」 基金的分类及详解「基金怎么分类型」 我们通常选择分红比例高的公司「多分红的股票一定是好股票吗」 俄罗斯股市行情「俄罗斯解体」 可转债中止发行「可转债暂停交易」 跟着fof基金买基金「FoF基金」 如何理解房地产市场与股市的关系「房地产股票涨跌和房价有关系吗」 国债 又称国家公债「国债通常被称为」 财务管理 筹资管理 多选题题库「财务管理筹资管理计算题」 理财经理岗位的职责「营销部经理岗位职责」 央行 去年中国境内绿色债券发行量超过6000亿元「我国国债发行规模」 中国利率互换市场「互换利率」 为什么基金定投能稳赚不赔「基金定投就是个坑」 帝尔激光股票「帝尔激光前景」 安稳债基大跌「稳健债基」 华为境外发债融资「扩大国债发行规模是紧缩性政策吗」 比特币的存储及支付方式具体操作方法「比特币怎么用」 资产管理产品相关会计处理规定(征求意见稿)「增值税完整会计处理」 干货 156个会计科目详细解释大全「会计科目讲解」 2020年是 比特币之年嘛「比特币10年后」 比特币风险太大「比特币存在什么风险」 可转债如何看溢价率「可转债如何查看溢价率」 国债期货大涨「国债期货下跌对股市是利好吗」 科创板上市条件「科创板可能存在首次公开发行前最近」 中信证券后市的走势如何「股市行情中信证券」 两项金融工具「金融工具创新」 加快交易所债券市场开放将产生红利吗「银行参与交易所债券市场」 波浪理论图解「波浪理论图解分析」 英力股份 拟发行不超过3 4亿元可转换公司债券吗「金固股份股东」 面试必过技巧「面试实战技巧」 搏一博单车变摩托「承诺收益合法吗」 青岛市政府专项债券「青岛政府债券」 青岛11日发行10亿地方债「山东地方债发行」 投资的本质 如何用小概率赚大钱呢「如何小投资赚大钱」 债基都在跌「债券市场崩盘」 重仓被套什么意思「橡胶爆仓的大佬」 美国eb5投资移民新政「投资美国移民新政」 2021年七月份发行的国债是电子式的还是凭证式的「2020年10月份国债是电子还是凭证式」 美的置业拟发行10亿元公司债券 期限为4年吗「美的地产负债率」 移民纽约要啥条件呢「纽约投资移民流程」 乌克兰局势动荡「乌克兰犹太人」 你要知道的各种基金交易费用有哪些「基金买入和卖出费用怎么算」 如果一定要看 偏债还是正债「混合偏债理财」
您的位置:首页 >理财 >

债券投资价值的主要影响因素「债券估值公式」

2023-01-06 12:01:08来源:文水静修

以前经常看到银行门口排队买国库券的场景,国库券其实就是债券的一种,因为它是政府发行的,安全性高,收益率又高于银行同期储蓄存款,因此受到一些老百姓的喜欢。除了国库券以外,还有金融机构债券和公司债券,不同的债券在价值、期限、利率、风险等方面都是不同的,如果希望投资债券,就有必要弄明白债券市场的基本情况和一般规律,下面从五个方面来做一个简要介绍:

第一,什么是债券?

什么是债券呢?债券是一种金融工具,约定了利率、到期时间、利息支付方式、面值等事项,因为收益是事先约定不变的,所以也叫做固定收益类证券,和权益类投资相比,债权投资风险相对较小,收益是可以确定的,债券到期后,投资者能够收回本金和利息。

债券如何分类?按债券的发行人分类有政府债券、金融债券和公司债券。按计息的方式分类有固定利率、浮动利率和零息利率的债券。按期限分为短期债券、中期债券和长期债券。依据债券里约定条款有可赎回债券、可回售债券、可转换债券等。按债券违约时的受偿顺序可分为有保证债券、优先无保证债券、优先次级债券、次级债券和劣后次级债券。

债券有哪些风险呢?与其他投资工具一样,债券也面临各种风险,这些风险可以分为信用风险、利率风险、通胀风险、流动性风险、再投资风险和提前赎回风险。

债券市场体系是什么样的?目前我国债券市场是由银行间债券市场、交易所市场和商业银行柜台市场三个市场组成的体系。其中银行间债券市场在债券分销量、托管量和现券交易量方面都是占主导地位的。

第二、债券价值如何估算?

债券价值是由债券未来现金流的现值决定的,债券价格受市场因素的影响,围绕债券价值上下波动。对不同类型的债券有三种估算方法:

1、零息债券估值法

零息债券是一种低于面值的现值发行,不支付利息,到期按面值偿还的债券,债券发行价格和面值之间的差额就是投资者的利息收入,这里投资者未来收到的现金流就等于债券的面值,所以,按照现值贴现模型公式,可以得出零息债券内在价值计算方法:

V表示零息债券的内在价值,M表示面值,r表示年化市场利率,t表示债券到期时间,单位是年。

因为多数零息债券的期限小于一年,所以上述公式简化为:

这里的t的单位是天。

例如:某一国库券面额是100元,贴现率为3.82%,到期时间为90天,那么这一国库券的内在价值为:

2、固定利率债券估值方法

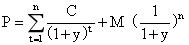
固定利率债券按票面金额计算利息,利息可以按约定的支付方式定期支付,投资人未来收到的现金流包括了定期支付的利息和到期支付的本金两部分,它的内在价值计算公式为:

V表示固定利率债券的内在价值,C表示每期支付的利息,M表示面值,r表示市场利率,n表示债券到期时间。

举个例子来说明上述公式的意思:

某种国库券面额是100元,票面利率是5.21%,市场利率为4.89%,期限是3年,每年付息一次,那么这个国库券的内在价值为:

3、统一公债估值方法

统一公债没有到期日,发行人承诺对该公债的投资者永久地支付利息,所以比较特殊,现代企业中优先股的股东,可以无限期获得固定利息,因此也相当于一种公债,它的内在价值计算公式简化后为:

V表示固定利率债券的内在价值,C表示每期支付的利息,r表示市场利率。

第三,债券的收益率如何计算?

债券的收益率分为当期收益率和到期收益率,当期收益率是债券某一期间所获得的现金收入与债券价格的比率,计算公式为:

I为当期收益率,C为年化息票利息,P为债券市场价格。

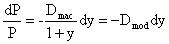
到期收益率是到期后投资者获得的年平均收益率,它是到期的全部年化息票利息与购买价格之比,计算公式为:

I为当期收益率,C为年化息票利息,P为债券市场价格,y是市场利率,M为面值。

债券价格与到期收益率的关系公式如下:

从上面的公式可以看出影响到期收益率的因素有:

(1)票面利率。它与到期收益率同向增减。

(2)债券市场价格。它与到期收益率呈反向增减。

(3)计息方式。固定利率债券比零息债券收益率高。

(4)再投资收益率。市场利率波动会使再投资收益率变化,会影响到实际持有债券到期收益率。

举例来理解上面的公式:

例一:某种债券面值100元,10年还本,年息8元,名义收益率为8%,如该债券某日的市价为95元,则当期收益率为8/95,若某人在第一年年初以95元市价买进面值100元的10年期债券,持有到期,则9年间除每年获得利息8元外,还获得本金盈利5元,到期收益率为(8×9 5)/(95×10)=8.1%

例二:票面金额为100元的2年期债券,第一年支付6元利息,第二年支付6元利息,当前市场价格是95元,到期收益率为:

y=8.836%

第四,债券期限结构和信用利差如何影响债券收益率?

不同债券收益率是不同的,可以用债券的期限和信用利差两个方面来衡量。

债券期限结构是债券收益率与到期期限的关系,分为四种类型,即上升、反转、水平和拱形。上升类型表示收益率与期限正相关,短期债券收益率低,长期债券收益率高。反转类型收益率与期限负相关,短期债券收益率高,长期债券收益率低。水平类型长短期收益率基本相同。拱形类型表示期限较短的债券,收益率与期限正相关,而较长期限的债券,收益率与期限负相关。

信用利差表示两种债券对违约风险的补偿差异程度,风险越大,投资收益率就越高,它有以下特点:

(1)相同信用等级的非政府债券,信用利差随期限的增加而扩大。

(2)信用利差随经济周期的扩张而缩小,随经济周期的缩小而扩张。

(3)信用利差可作为预测经济周期活动的指标。

第五,什么是债券的久期和凸性?

利率变化是影响债券价格的主要因数之一。久期和凸性是衡量债券价格随利率变化的两个重要指标。

什么是久期呢?久期是债券投资者收回全部本金和利息的平均时间,这是因为固定利率债券是定期支付利息的,每一期利息的收回时间是不同的,将每一期利息加权平均到期期时间,就是久期。其计算公式为:

这个公式的意思是,支付金额的现值权重乘以期限的累加和,支付金额的现值权重等于支付金额的现值与当期债券价格的比值。可以推导出债券价格的变化率与收益率的变化量的公式:

称为修正久期

这个公式说明,在收益率不变时,债券价格的变化率与修正久期变化方向相反。修正久期越大,债券价格波动越大。

举例说明一下久期的概念:

息票率6%的3年期债券,每半年付息一次。当前市场价格为97.3357,到期收益率为7%,久期为2.79年,假设债券的到期收益率忽然增加到7.1%,债券价格将如何变化?

即收益率上升0.1%,债券价格大约下降0.2621元。

什么是债券的凸性呢?久期描述了价格-收益率曲线的斜率,凸性描述了价格/收益率曲线的弯曲程度。凸性是债券价格对收益率的二阶导数。凸性对投资人是有利的,即凸性越大,价格越优。

久期和凸性有什么作用呢?它的作用是能对债券价格风险起到管控的作用,也就是实现资产组合现金流匹配和资产负债的有效管理,对现金流的匹配使用所得免疫策略,保证投资者有充足的资金可以满足预期现金支付的需求。对资产负债的有效管理使用价格免疫策略,保证所持有的资产市场价值高于负债的市场价值,也就是资产的凸性高于负债的凸性。

以上介绍了债券的基本概念,债券价值估算方法,利率、期限和信用对债券价格的影响,以及这些影响的定性和定量的分析结果。

免责声明:本网站所有信息仅供参考,不做交易和服务的根据,如自行使用本网资料发生偏差,本站概不负责,亦不负任何法律责任。涉及到版权或其他问题,请及时联系我们。